验证数据展示
产品信息
98226-1-PBS targets C5AR1/CD88 in FC applications and shows reactivity with human samples.
| 经测试应用 | FC Application Description |
| 经测试反应性 | human |
| 免疫原 |
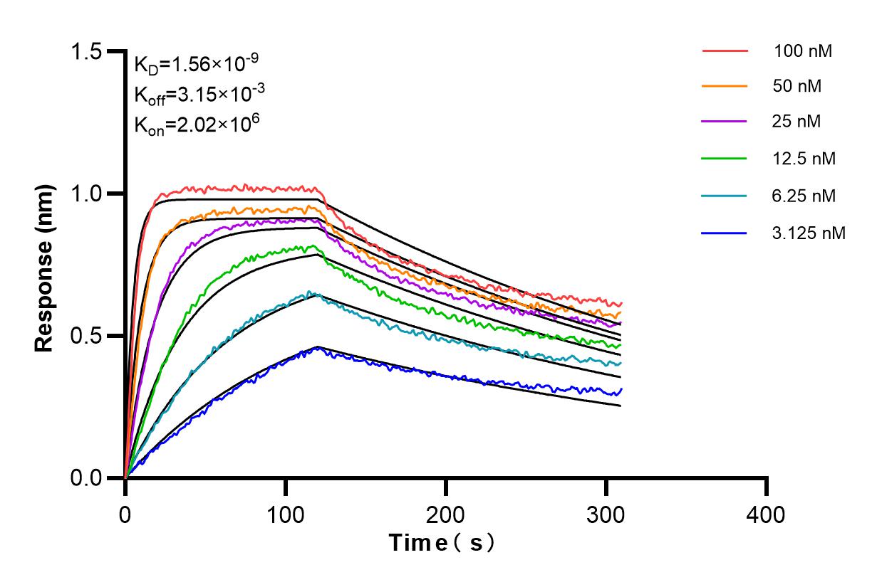
CatNo: Eg2185 Product name: Recombinant Human C5AR1/CD88 protein (rFc Tag) Source: mammalian cells-derived, pHZ-KIsec-C-rFc Tag: C-rFc Domain: 1-37 aa of NM_001736.4 Sequence: MDSFNYTTPDYGHYDDKDTLDLNTPVDKTSNTLRVPD 种属同源性预测 |
| 宿主/亚型 | Rabbit / IgG |
| 抗体类别 | Recombinant |
| 产品类型 | Antibody |
| 全称 | complement component 5a receptor 1 |
| 别名 | C5AR, C5AR1, 241712D4, C5A, C5a anaphylatoxin chemotactic receptor 1 |
| 计算分子量 | 39kDa |
| GenBank蛋白编号 | NM_001736.4 |
| 基因名称 | C5aR |
| Gene ID (NCBI) | 728 |
| 偶联类型 | Unconjugated |
| 形式 | Liquid |
| 纯化方式 | Protein A purfication |
| UNIPROT ID | P21730 |
| 储存缓冲液 | PBS only, pH 7.3. |
| 储存条件 | Store at -80°C. The product is shipped with ice packs. Upon receipt, store it immediately at -80°C |
背景介绍
C5aR, also named CD88, is a G protein-coupled receptor for the anaphylatoxin C5a, a cleavage product of the complement cascade. The C5a ligand is a proinflammatory component of host defense. C5aR is activated upon binding of the C5a molecule. Receptor activation stimulates chemotaxis, granule enzyme release, intracellular calcium release, and superoxide anion production.


