验证数据展示
产品信息
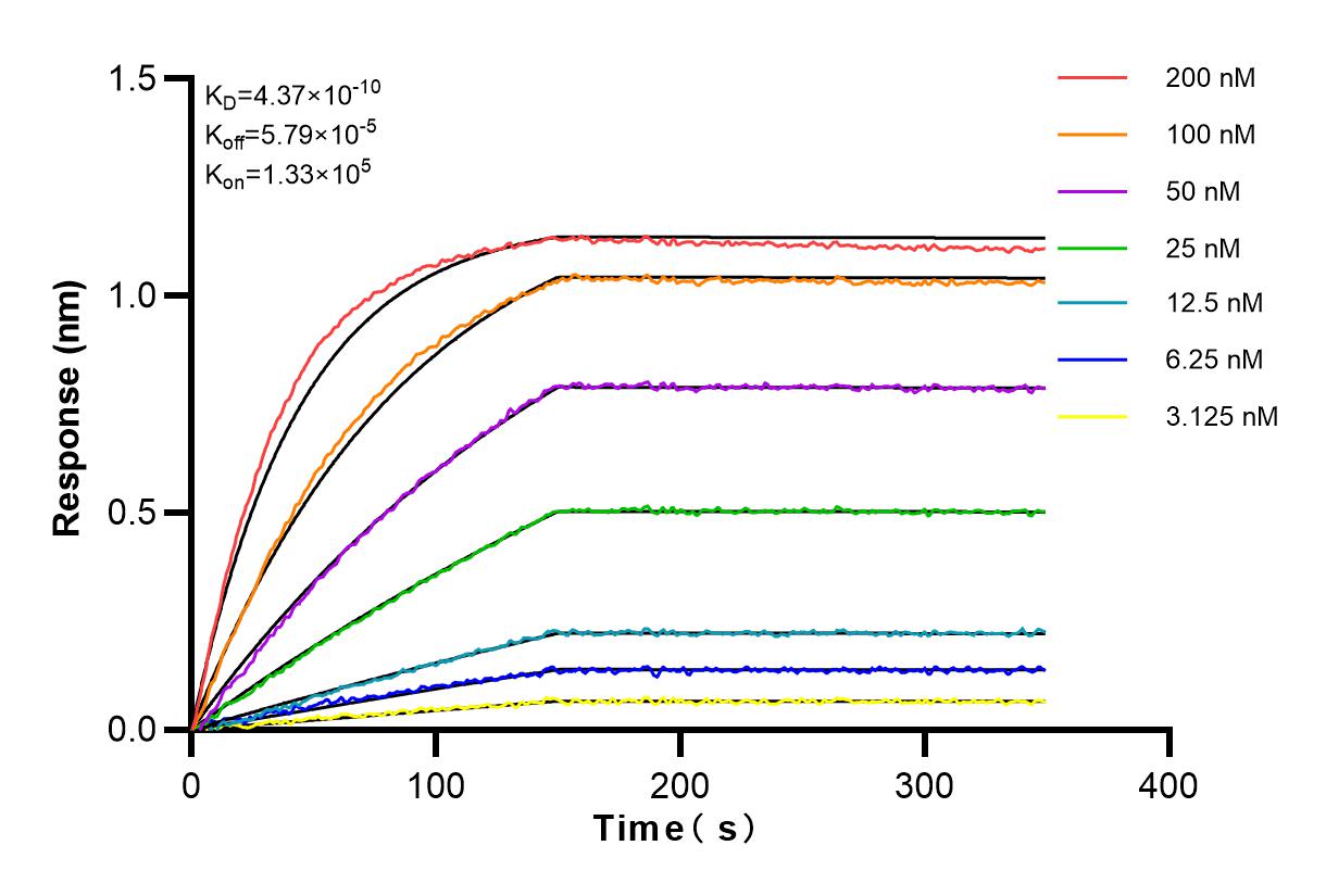
83433-1-RR targets PFDN1 in ELISA applications and shows reactivity with Human samples.
| 经测试应用 | ELISA Application Description |
| 经测试反应性 | Human |
| 免疫原 |
CatNo: Ag1506 Product name: Recombinant human PFDN1 protein Source: e coli.-derived, PGEX-4T Tag: GST Domain: 1-122 aa of BC011869 Sequence: MAAPVDLELKKAFTELQAKVIDTQQKVKLADIQIEQLNRTKKHAHLTDTEIMTLVDETNMYEGVGRMFILQSKEAIHSQLLEKQKIAEEKIKELEQKKSYLERSVKEAEDNIREMLMARRAQ 种属同源性预测 |
| 宿主/亚型 | Rabbit / IgG |
| 抗体类别 | Recombinant |
| 产品类型 | Antibody |
| 全称 | prefoldin subunit 1 |
| 别名 | PDF, PFD1, PFDN1, prefoldin subunit 1 |
| 计算分子量 | 14 kDa |
| GenBank蛋白编号 | BC011869 |
| 基因名称 | PFDN1 |
| Gene ID (NCBI) | 5201 |
| 偶联类型 | Unconjugated |
| 形式 | Liquid |
| 纯化方式 | Protein A purfication |
| UNIPROT ID | O60925 |
| 储存缓冲液 | PBS with 0.02% sodium azide and 50% glycerol, pH 7.3. |
| 储存条件 | Store at -20°C. Stable for one year after shipment. Aliquoting is unnecessary for -20oC storage. |
