验证数据展示
经过测试的应用
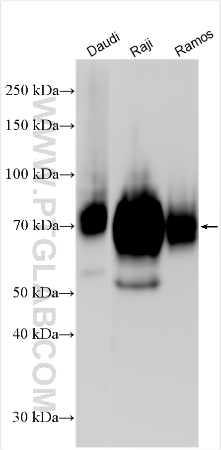
| Positive WB detected in | Daudi cells, Raji cells, Ramos cells |
| Positive IF/ICC detected in | Raji cells |
推荐稀释比
| 应用 | 推荐稀释比 |
|---|---|
| Western Blot (WB) | WB : 1:1000-1:4000 |
| Immunofluorescence (IF)/ICC | IF/ICC : 1:50-1:500 |
| It is recommended that this reagent should be titrated in each testing system to obtain optimal results. | |
| Sample-dependent, Check data in validation data gallery. | |
产品信息
83523-4-RR targets CD86 in WB, IHC, IF/ICC, ELISA applications and shows reactivity with human samples.
| 经测试应用 | WB, IF/ICC, ELISA Application Description |
| 文献引用应用 | WB, IHC, IF |
| 经测试反应性 | human |
| 文献引用反应性 | human, mouse, rat |
| 免疫原 |
CatNo: Eg0966 Product name: Recombinant Human CD86 protein (His Tag) Source: mammalian cells-derived, pHZ-KIsec-C-6*HIS Tag: C-6*HIS Domain: 26-247 aa of NM_175862 Sequence: LKIQAYFNETADLPCQFANSQNQSLSELVVFWQDQENLVLNEVYLGKEKFDSVHSKYMGRTSFDSDSWTLRLHNLQIKDKGLYQCIIHHKKPTGMIRIHQMNSELSVLANFSQPEIVPISNITENVYINLTCSSIHGYPEPKKMSVLLRTKNSTIEYDGVMQKSQDNVTELYDVSISLSVSFPDVTSNMTIFCILETDKTRLLSSPFSIELEDPQPPPDHIP 种属同源性预测 |
| 宿主/亚型 | Rabbit / IgG |
| 抗体类别 | Recombinant |
| 产品类型 | Antibody |
| 全称 | CD86 molecule |
| 别名 | 240429G12, Activation B7 2 antigen, Activation B7-2 antigen, B7 2, B70 |
| 计算分子量 | 329 aa, 38 kDa |
| 观测分子量 | 70 kDa |
| GenBank蛋白编号 | NM_175862 |
| 基因名称 | CD86 |
| Gene ID (NCBI) | 942 |
| ENSEMBL Gene ID | ENSG00000114013 |
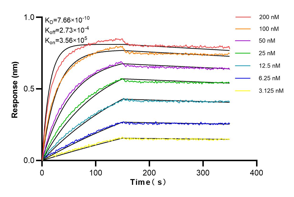
| RRID | AB_3671150 |
| 偶联类型 | Unconjugated |
| 形式 | Liquid |
| 纯化方式 | Protein A purfication |
| UNIPROT ID | P42081 |
| 储存缓冲液 | PBS with 0.02% sodium azide and 50% glycerol, pH 7.3. |
| 储存条件 | Store at -20°C. Stable for one year after shipment. Aliquoting is unnecessary for -20oC storage. |
背景介绍
CD86 (also known as B7.2) is a costimulatory molecule belonging to the immunoglobulin superfamily. Primarily expressed on antigen-presenting cells (APCs), including B cells, dendritic cells, and macrophages, CD86 is the ligand for two proteins at the cell surface of T cells, CD28 antigen and cytotoxic T-lymphocyte-associated protein 4. Binding of CD86 with CD28 antigen is a costimulatory signal for activation of the T-cell. Binding of CD86 with cytotoxic T-lymphocyte-associated protein 4 negatively regulates T-cell activation and diminishes the immune response.
实验方案
| Product Specific Protocols | |
|---|---|
| IF protocol for CD86 antibody 83523-4-RR | Download protocol |
| WB protocol for CD86 antibody 83523-4-RR | Download protocol |
| Standard Protocols | |
|---|---|
| Click here to view our Standard Protocols |
发表文章
| Species | Application | Title |
|---|---|---|
Colloids Surf B Biointerfaces A glycopeptide-based pH-responsive hydrogel promotes diabetic wound healing via antimicrobial and remodeling microenvironment | ||
Front Oncol Ansofaxine Hydrochloride inhibits hepatocellular carcinoma growth and enhances targeted therapy through the EGFR/MAPK pathway. | ||
Biomedicines miR-21-5p Alleviates Retinal Ischemia-Reperfusion Injury by Inhibiting M1 Polarization of Microglia via Suppression of STAT3 Signaling. | ||
Front Immunol SLC40A1-mediated positive feedback loop with M1 macrophages suppresses epithelial ovarian cancer progression. | ||
Int Immunopharmacol Vitamin E alleviates experimental autoimmune prostatitis by inhibiting the EGFR/MAPK pathway to reduce M1 macrophage polarization. | ||
Pathol Res Pract SPI1 inhibits ferroptosis and immune escape of bladder cancer cells by promoting CRYAB expression. |


