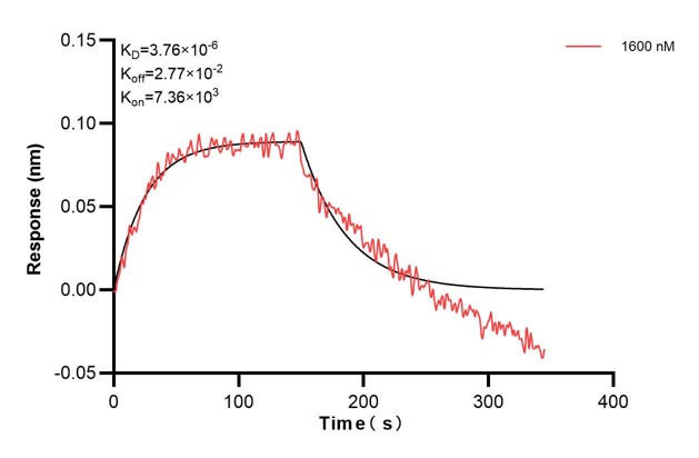
验证数据展示
产品信息
60774-5-PBS targets BRM/SMARCA2-Specific as part of a matched antibody pair:
MP51103-3: 60774-4-PBS capture and 60774-5-PBS detection (validated in Cytometric bead array)
Unconjugated mouse monoclonal antibody pair in PBS only (BSA and azide free) storage buffer at a concentration of 1 mg/mL, ready for conjugation.
This conjugation ready format makes antibodies ideal for use in many applications including: ELISAs, multiplex assays requiring matched pairs, mass cytometry, and multiplex imaging applications.Antibody use should be optimized by the end user for each application and assay.
| 经测试应用 | Cytometric bead array, Indirect ELISA Application Description |
| 经测试反应性 | human |
| 免疫原 |
CatNo: Ag33074 Product name: Recombinant human SMARCA2-Specific protein Source: e coli.-derived, PET28a Tag: 6*His Domain: 1-272 aa of NM_003070 Sequence: MSTPTDPGAMPHPGPSPGPGPSPGPILGPSPGPGPSPGSVHSMMGPSPGPPSVSHPMPTMGSTDFPQEGMHQMHKPIDGIHDKGIVEDIHCGSMKGTGMRPPHPGMGPPQSPMDQHSQGYMSPHPSPLGAPEHVSSPMSGGGPTPPQMPPSQPGALIPGDPQAMSQPNRGPSPFSPVQLHQLRAQILAYKMLARGQPLPETLQLAVQGKRTLPGLQQQQQQQQQQQQQQQQQQQQQQQPQQQPPQPQTQQQQQPALVNYNRPSGPGPELSGP 种属同源性预测 |
| 宿主/亚型 | Mouse / IgG1 |
| 抗体类别 | Monoclonal |
| 产品类型 | Antibody |
| 全称 | SWI/SNF related, matrix associated, actin dependent regulator of chromatin, subfamily a, member 2 |
| 别名 | SMARCA2, ATP-dependent helicase SMARCA2, BAF190, BAF190B, BRG1-associated factor 190B |
| 计算分子量 | 181 kDa |
| GenBank蛋白编号 | NM_003070 |
| 基因名称 | SMARCA2 |
| Gene ID (NCBI) | 6595 |
| 偶联类型 | Unconjugated |
| 形式 | Liquid |
| 纯化方式 | Protein G purification |
| UNIPROT ID | P51531 |
| 储存缓冲液 | PBS only, pH 7.3. |
| 储存条件 | Store at -80°C. The product is shipped with ice packs. Upon receipt, store it immediately at -80°C |

