验证数据展示
产品信息
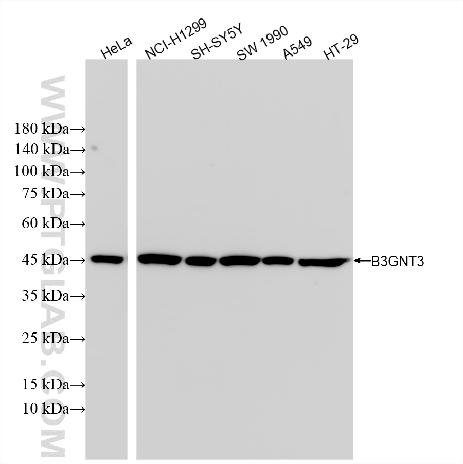
85713-1-PBS targets B3GNT3 in WB, Indirect ELISA applications and shows reactivity with human samples.
| 经测试应用 | WB, Indirect ELISA Application Description |
| 经测试反应性 | human |
| 免疫原 |
CatNo: Ag12061 Product name: Recombinant human B3GNT3 protein Source: e coli.-derived, PET28a Tag: 6*His Domain: 34-372 aa of BC066876 Sequence: CKVQEQPPAIPEALAWPTPPTRPAPAPCHANTSMVTHPDFATQPQHVQNFLLYRHYRHFPLLQDVPPSKCAQPVFLLLVIKSSPSNYVRRELLRRTWGRERKVRGLQLRLLFLVGTASNPHEARKVNRLLELEAQTHGDILQWDFHDSFFNLTLKQVLFLQWQETRCANASFVLNGDDDVFAHTDNMVFYLQDHDPGRHLFVGQLIQNVGPIRAFWSKYYVPEVVTQNERYPPYCGGGGFLLSRFTAAALRRAAHVLDIFPIDDVFLGMCLELEGLKPASHSGIRTSGVRAPSQHLSSFDPCFYRDLLLVHRFLPYEMLLMWDALNQPNLTCGNQTQIY 种属同源性预测 |
| 宿主/亚型 | Rabbit / IgG |
| 抗体类别 | Recombinant |
| 产品类型 | Antibody |
| 全称 | UDP-GlcNAc:betaGal beta-1,3-N-acetylglucosaminyltransferase 3 |
| 别名 | B3GALT8, Beta-1,3-galactosyl-O-glycosyl-glycoprotein beta-1,3-N-acetylglucosaminyltransferase, Beta-1,3-galactosyltransferase 8, Beta-1,3-GalTase 8, Beta-1,3-Gn-T3 |
| 计算分子量 | 372 aa, 43 kDa |
| 观测分子量 | 43 kDa |
| GenBank蛋白编号 | BC066876 |
| 基因名称 | B3GNT3 |
| Gene ID (NCBI) | 10331 |
| 偶联类型 | Unconjugated |
| 形式 | Liquid |
| 纯化方式 | Protein A purification |
| UNIPROT ID | Q9Y2A9 |
| 储存缓冲液 | PBS only, pH 7.3. |
| 储存条件 | Store at -80°C. The product is shipped with ice packs. Upon receipt, store it immediately at -80°C |
背景介绍
Beta-1,3-N-acetylglucosaminyltransferase 3 (B3GNT3) is a type II transmembrane protein located in the Golgi apparatus and contributes to the regulation of L-selectin ligand function, lymphocyte trafficking, and T cell homing. B3GNT3 is overexpressed in breast cancer, and also plays a critical role in the aggressiveness of pancreatic cancer (PMID: 33718036, 30466404). Western blot analysis detected B3GNT3 at an apparent molecular mass of 43 kDa.

